北华航天工业学院录取名单已发布,考研录取名单不仅只有公示的作用,我们还能从名单中分析出专业的录取最低最高录取分数还有录取人数,对2023年考研评估上岸率起到的不和或缺的作用,为了同学们正确了解录取线,考研营小编为大家整理了《2022考研拟录取名单:北华航天工业学院遥感信息工程学院电子信息专业2022年硕士研究生招生第一批调剂考生复试综合成绩及拟录取情况》名单。祝考研成功!
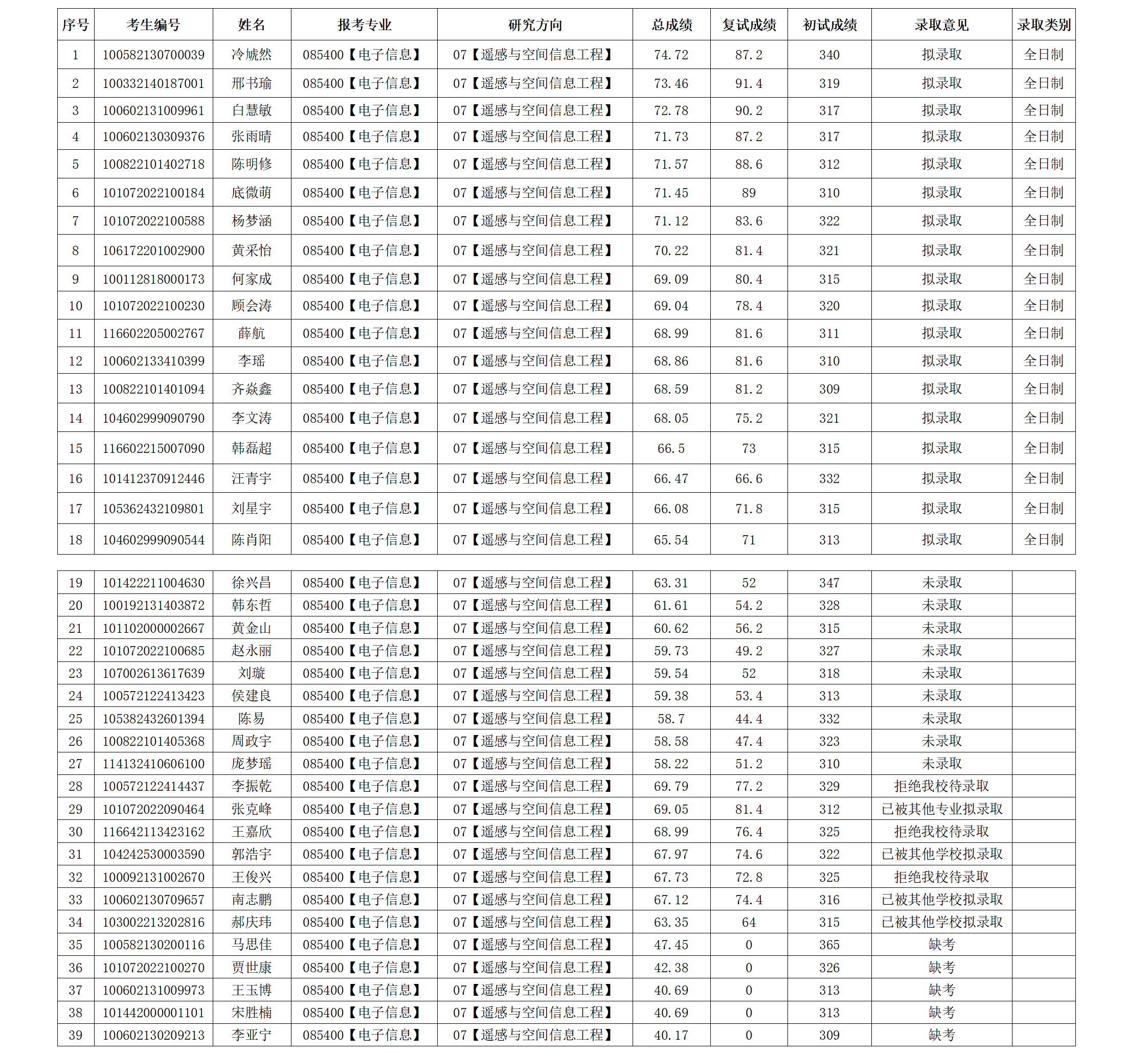
根据教育部、河北省教育考试院的有关文件规定,依据学校《2022年硕士研究生招生复试录取工作办法》,我校遥感信息工程学院于4月8日-9日组织了电子信息专业第一批调剂考生复试,现对复试综合成绩及拟录取情况进行公示。本专业计划缺额26人,本次调剂复试拟录取18人。对拟录取结果有疑义者可在公示期内具名反应,监督举报电话:0316-2083654。
监督部门:北华航天工业学院纪检监察室。
公示期:2022年4月9日至2022年4月22日。

原文标题:北华航天工业学院遥感信息工程学院电子信息专业2022年硕士研究生招生第一批调剂考生复试综合成绩及拟录取情况公示
以上就是小编整理的“2022考研拟录取名单:北华航天工业学院遥感信息工程学院电子信息专业2022年硕士研究生招生第一批调剂考生复试综合成绩及拟录取情况”的全部内容,更多关于2022考研拟录取名单,北华航天工业学院拟录取名单,考研拟录取名单的信息,尽在“考研拟录取名单”栏目,希望对广大学子有所帮助!